学校首页|

研究生教育

当前位置: 首页 -> 人才培养 -> 研究生教育 -> 正文

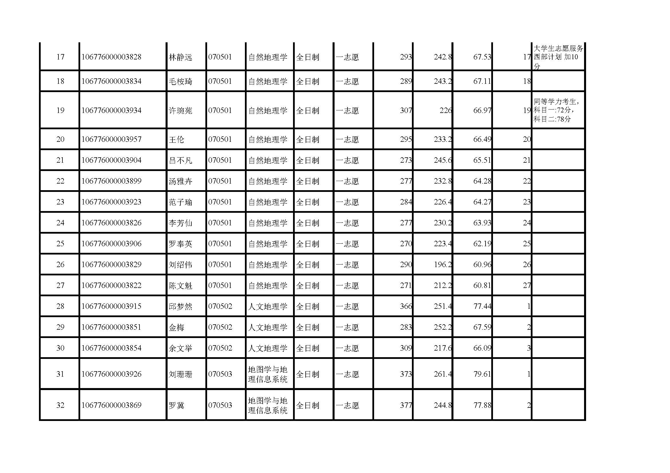
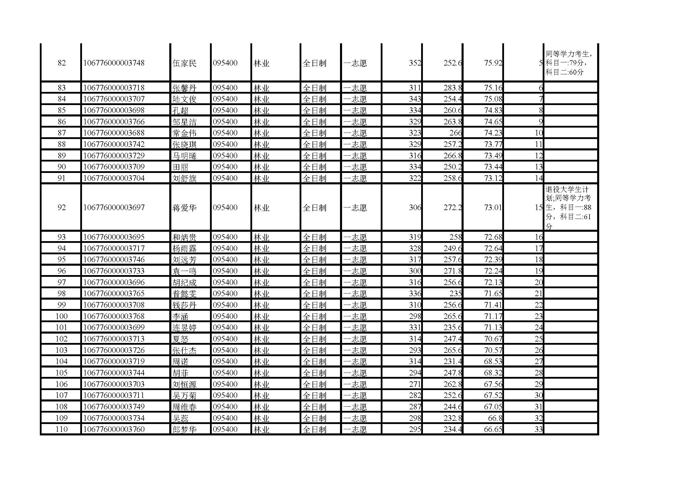
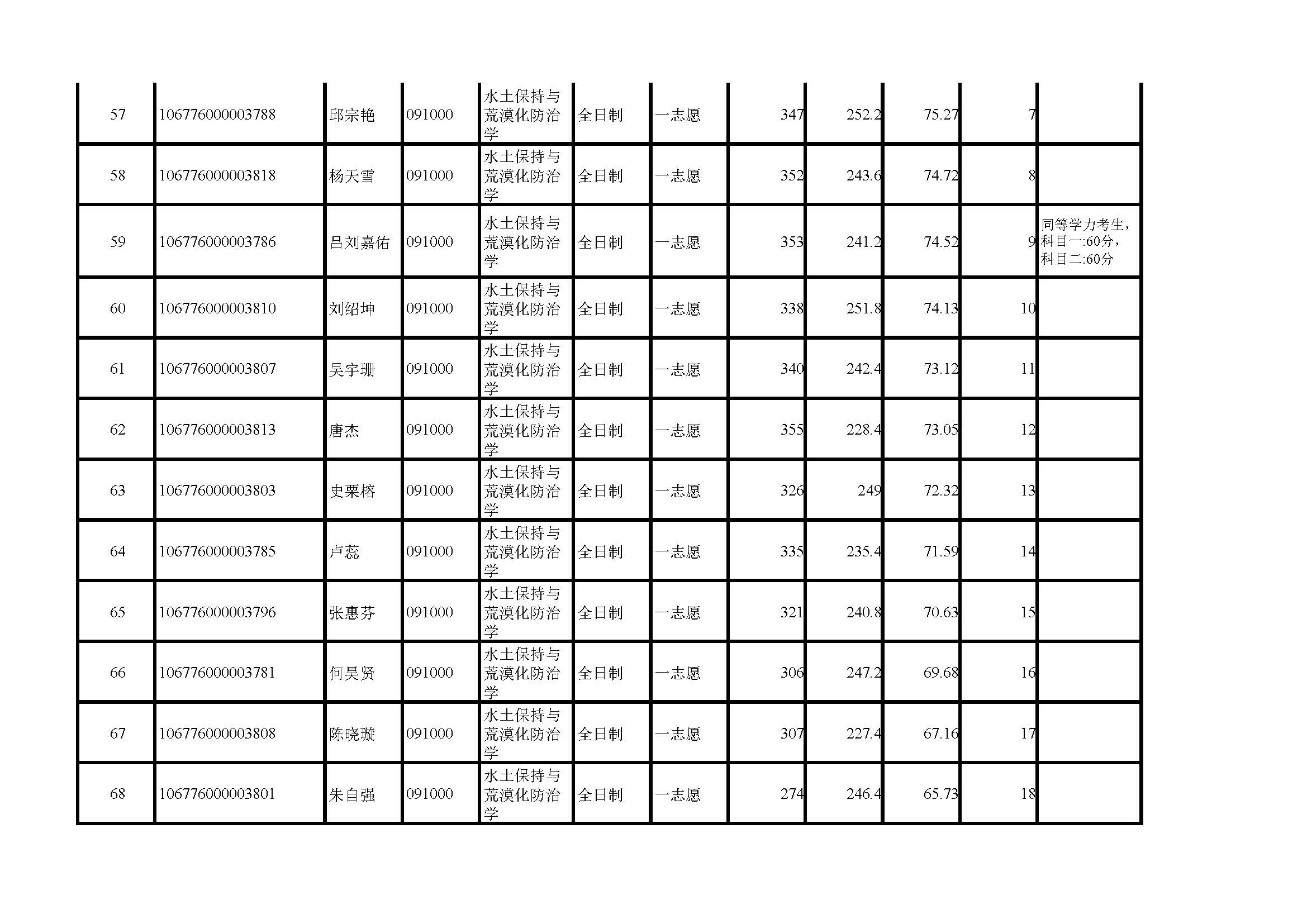
水土保持学院关于2026年硕士研究生招生考试一志愿考生复试成绩公布的通知

发布日期:2026-03-27


各位考生:

水土保持学院2026年硕士研究生招生考试一志愿考生复试工作现已结束,现将复试成绩、总成绩公布如下:

水土保持学院

2026年3月28日